Leggi di Keplero (approf.)

Leggi di Keplero

(Approfondimento)

Si riporta un esempio applicativo che illustra la relazione esistente tra il semiasse maggiore dell'orbita (a) e la velocità tangenziale di un pianeta.
Si misurino i periodi di rivoluzione dei pianeti in anni e si assuma l' Unità Astronomica come unità di lunghezza.
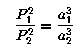
La 3a legge, applicata a due pianeti (diciamo 1 e 2), dà:

Se il secondo pianeta è la Terra, P2=1 e a2=1, e quindi

P12=a13,

cioè:

Giove ha P=11.86 anni e quindi il semiasse maggiore della sua orbita è
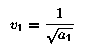
Nell'ipotesi, semplificata, che le orbite siano circolari, è possibile calcolare le velocità medie.
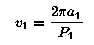
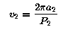
Le velocità areolari dei pianeti 1 e 2 sono


e cioè:

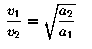
Dalla 3.a legge si ha:

e quindi

Se prendiamo come riferimento la Terra, a2=1 e v2=1. Allora

Questa velocità è espressa come frazione della velocità della Terra (29.8 km/s)).
Tanto maggiore è la distanza del pianeta dal Sole, tanto minore è la sua velocità tangenziale media.